ずっと気になっていた映画のワンシーンがあります。それは、映画『バック・トゥ・ザ・フューチャー』の冒頭。主人公マーティが巨大なギターアンプにシールドコードを差し込みオーバードライブを最大にセット。ギターをかき鳴らした瞬間、爆音とともに数メートル吹き飛ばされてソファーに叩きつけられるシーン。当時あの場面は、物語の始まりとしても、これから始まる一連の騒ぎを予感させるようなインパクトのある場面でした。
そんなバカなと思っていたこと
さて、当時から疑問に思っていたことは 「大出力のスピーカーの爆音で人が飛ぶのか?」ということです。映画として見ている時には、すごくパワーがあるアンプなんだな、聞いたことも、体験したこともないような大音量なんだろうな、と想像させる描写でした。では本当にそんなことが起こるのか考えてみることにしました。もちろん私は文系の人間なので物理や計算は苦手です。ここはAIに相談しながら手伝ってもらうことにしました。
問題のシーン
「吹き飛ぶ」についての定義】
下記の条件で考えたいと思います。この記事で扱う「吹き飛ぶ」とは瞬間的な外力によって初速を与えられ、3m移動することと定義します。
- 体重:55kg
- 人物の初期状態:立って静止している
- 移動距離:後方へ3m飛ぶ
- 移動方向:水平方向に飛ぶ
- 外力:一瞬で与えられると仮定
- 摩擦や空気抵抗を無視した最小条件とする
実際に3m飛ぶには、どれくらいの力が必要か
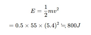
まず必要な初速を求める。単純化すると、3m飛ぶための初速は約5.4 m/s(約19.5km/h)数値だけ見ると大したことはない。だが問題は、55kgの人体にこれを一瞬で与えることにある。
必要なエネルギー
運動エネルギーは以下の式で求まる。

必要なエネルギーは約800ジュール。例えば、10kgの重りが2階建て相当の高さから落ちるエネルギーや軽自動車が「ほぼ停止状態」から低速(数km/h)コツンとぶつかるエネルギーに相当します。
短時間で力を加える必要がある
800ジュールは人に当たれば普通に危険だが、扱い方を間違えなければ日常にも存在するエネルギーです。なんだ、意外と小さいのでは?と思ってしまいますが、本質はエネルギー量ではありません。問題はこの力を「どれだけ短時間で与えるか」ということです。

つまり、数千ニュートン級の力を瞬間的に与える必要がある。
これは約300〜600kg重に相当し、日常的な音や振動のスケールを完全に超えています。
kg重(kgf)とは、「質量1kgの物体に地球上で働く重力の大きさ」を表す単位
1 kg重(1 kgf)= 質量1kg × 重力加速度9.8 m/s²= 約9.8ニュートン(N)
300〜600kg重とは、変な例えですが、自動販売機1〜2台が一瞬で倒れこんでくる、グランドピアノ1台がぶつかる、大人5〜10人が同時に全力で体当たりしてくるような衝撃です。直感的に立ってはいられなさそうだとわかります。
「音」でその力を出せるのか?
音とは空気の圧力変動、つまり振動で、空気が前後に揺れているだけの状態です。 一方向に質量を運ぶ力(運動量)を持っていません。人を押し飛ばすには爆風、ジェット噴流、機械的外力のような、一方向に運動量を与える現象が必要になるが、音はその条件を満たしません。
大型スピーカーの風圧ならどうか?
ここで考えがちなのが「大型ウーファーが動くと、風が出るのでは?」ということ。見た目にはスピーカーコーンが激しく前後に動いています。確かに、大型スピーカーから大音量の音楽が流れる時、ビリビリとした空気の動きを感じますが、それは「風」ではありません。
- スピーカーコーンは空気を押し、同時に引いている
- 空気は往復しているだけ
- 正味の移動量はほぼゼロ
人が「押された」と錯覚するのは、低周波によって体が揺すられているからです。実際には、扇風機のほうが一方向に空気を運び続ける力を持っています。風量の切り替えを強にして、会話が聞こえないほど風を感じても、人が飛ぶことはない。スピーカーの振動で起こる空気の揺れが「人を飛ばす」場合に、どれだけ微細で役に立たないのかがわかります。
音圧を極限まで上げてみたら?
人体に明確な影響が出始める音圧の目安です。
120dB:ライブ会場
140dB:鼓膜損傷
160dB:内臓への影響
180dB:衝撃波の領域に入る
200dB:爆風
人を物理的に移動させるには、180dB級以上が必要と推定される。
この時点で、音は「音楽」ではなく衝撃波になる。

人体への影響
もし音で3m飛ばせる装置を採算度外視、安全性を考慮せずに設置し、それを起動したとき、人体はどのような影響を受けるのか考えてみましょう。
| 起動直後(数ミリ秒) | 空気中に急激な圧力前線が発生 鼓膜はほぼ確実に破裂 内耳が破壊され、聴覚は即時喪失 |
| 続く数ミリ秒 | 肺胞が圧力変化に耐えられず損傷 呼吸不能、低酸素状態 内臓が慣性差でずれ、内部出血が始まる |
| 20〜50ミリ秒 | 脳が頭蓋内で慣性移動 意識喪失、神経系の深刻な損傷 |
その後、ようやく体が動く。外から見て「人が飛んだ」と認識される頃には、人体はすでに致命的な損傷を受けた後なのです。
人を3m飛ばせるアンプの仕様
仮に物理的に人を3m飛ばせるような高出力のギターアンプを作るとすれば、下記のような仕様になります。危険なので絶対に作らないで下さい。
【音圧レベル】
推定最大音圧:200〜210 dB SPL(1m) 衝撃波レベル
(例)
120 dB:ジェット機の近く
160 dB:鼓膜即破壊
180 dB:致命的
200 dB超:爆風・衝撃波領域
【周波数特性】
主成分:5〜30 Hz(超低周波・衝撃波)
副次的・制御不能 ※ギターの音色再現性:おそらくゼロ
【スピーカー構成】
口径:5〜10 m級ダイアフラム(建築物サイズ)
振幅:数十cm〜1m
台数:単一不可、アレイ構成必須
【筐体】
サイズ:体育館〜倉庫クラス
重量:数十〜数百トン
構造:防爆・耐衝撃構造
【電源仕様】
瞬間消費電力:数十MW
電源:発電所直結 or 大型蓄電+放電装置
家庭用電源:完全に不可能
【安全仕様】
使用時:周囲半径数十m立入禁止、使用者は防護壁の向こう側
想定リスク:即時聴覚破壊、内臓損傷、致命的外傷
【費用】2000億円規模
【建設期間】10年

結論
人を3m飛ばすには音響ではなく「運動エネルギー」が必要。それを空気越しに与え、人を吹き飛ばせるアンプを作ろうとした瞬間、それはもう楽器ではなく、制御された爆発装置となる。衝撃を受けた場合、人体は耐えられずに物語は終わる。天才科学者のドクが持つ技術によって爆発アンプを小型化し、安全にも配慮したうえで設計したのかもしれません。マーティーはこの事故に遭遇した後も、元気な姿で学校へ行くことができ、壮大なタイムトラベルの物語が幕開けるのです。


コメント